压力传感器的静态性能试验项目包括:零点输出、满量程输出、非线性、迟滞、 重复性、准确度、灵敏度等7个内容。
1、试验一般规定
1.1 证书文件:试验用的主要仪器设备和计量器具应具有计量/校准技术机构签发的有效期内的检定证书或校准证书,以保证其量值能够溯源到国家基准。
1.2 外观:传感器的外观应无明显的瑕疵、划痕,接头螺纹应无毛刺、锈蚀和损伤,焊接处应牢固,电连接器应接触可靠。
1.3 标志:传感器的标志应清晰、正确无误。其中包括:
a)电源输人端、信号输出端及极性的标志;
b)差压传感器的高压端和低压端接嘴应有永久性标志。
1.4 放置时间:试验前,被试传感器应在试验环境条件下放置,放置时间应不小于1 h。放置时间也可按传感器的详细规范规定。
1.5 预热时间:试验前,被试传感器及其相连接的测试仪器和激励电源应通电预热,预热时间应不小于0.5 h。预热时间也可按传感器的详细规范规定。
1.6 连接方式:被试传感器与其激励电源、压力源和读数装置的连接方式,应按其压力系统管路图和电路图的规定。连接方式也可按传感器的详细规范规定。
1.7 安装方法:被试传感器的安装,应按传感器详细规范的规定进行。
2、试验方法
2.1 试验原则
被试传感器在符合上述规定条件下,给传感器施加不少于3次的预压,使被试传感器压力升到测量上限值,待压力稳定后降压,返回零点。然后在包括传感器测量上、下限的全量程范围内选择均匀分布的6个〜11个试验点进行,测量与输入压力点对应的传感器输出,并且重复3次或3次以上的升、降压校准循环。
通过上述试验获得的数据,按附录A的计算方法可确定下列静态性能指标。
2.2 零点输出(Y0)
所加被测量为零时传感器的输出值为零点输出。
2.3 满最程输出(YF·S)
传感器测量上限输出值与测量下限输出值之差的绝对值(以理论特性直线的计算值为依据)为满量程输出值,按式(A.11)计算。
![]()
对于定点使用的非线性传感器,为传感器测量上、下限示值的平均值之差的绝对值,按式(A.12)计算。
![]()
对于非定点使用的非线性传感器及带刻度方程的线性传感器,为刻度方程上的上、下点输出值之差的绝对值,按式(A.13)计算。
![]()
2.4非线性(ζL)
校准曲线与某一规定直线偏离的程度为非线性。
线性传感器的非线性(ζL),按式(A.14)计算。

非线性传感器,不计算非线性指标;对于已给刻度方程的传感器,要在数据处理后按式(A.14)计算拟合误差。对于非定点使用的非线性传感器,按式(A.15)计算刻度误差(ζK)。刻度误差的指标要求与非线性要求相同。

2.5 迟滞(ζH)
在规定的范围内,在同一试验点,用被测量值增加和减少时输出的差值绝对值计算的值为该测量点的迟滞,用所有测量点中最大的迟滞描述传感器的迟滞(ζH),按式(A.16)计算。

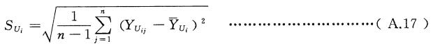
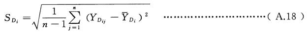
2.6 重复性(ζR)
在所有下述条件(相同测量方法、相同观测者、相同测量仪器、相同地点、相同使用条件和在短时期内的重复)下,对同一被测量进行多次连续测量所得结果之间的一致性为重复性(ζR),按式(A. 17)〜式(A.20)计算。




2.7 准确度(ζ)
被试传感器的测量结果与(约定)真值间的一致程度为准确度(ζ)。它取决于系统误差带与随机误差带的大小。准确度(ζ)按式(A.21)〜式(A.28)计算。

![]()
![]()

![]()
![]()
![]()

2.8 灵敏度(s)
传感器输出量的增量与相应的输入量增量之比为灵敏度,按式(A.29)〜式(A.31)计算。

对于非线性传感器则描述为平均灵敏度,为传感器满量程输出与量程上限和量程下限的差之比。