今天给大家带来的分享是关于制冷剂用阀门(以下简称为“阀门”)液压强度、最小破坏压力及疲劳耐久试验性能试验步骤及数据处理的内容。方法适用于制冷剂为 R22、R134a、R407C、R410A、R32、R404A、R290 等的制冷剂用阀门。
1、液压强度试验
试验步骤如下所述:
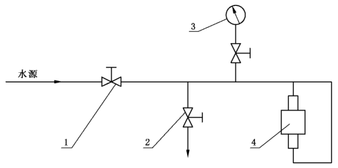
a)采用专用夹具或焊接的方式将阀门的进出口连接一起(若能保证阀门内部各部位均能受压,也可以只从一端进液态水或黏度和水相近的液体,其余各个进出口堵死),如图 1 所示,并放置在安全防爆箱内:

说明:1——进水阀:2——放水阀:3——压力表:4——被测阀门。
图 1 液压强度试验装置
b)如采用焊接方式则应进行冷却保护,以确保焊接过程不会导致被测阀门主体强度的下降:
c)将被测阀门一端与试压泵的出口相连接,开启试压泵,让液体进入阀体后,并停止加压,通过液体排气法排出样品内的空气,拧紧连接螺母:
d)再次开启试压泵,给样品缓慢加压至该产品最大工作压力的 1.5 倍或规定压力,并保压 3min 或规定时间:
e)试验结束后,应对被测阀门进行目视检查以确认其是否符合要求。
2、最小破坏压力试验
应使用液压强度试验合格后的产品进行试验。试验步骤如下所述:
a)液压强度试验结束后,再次开启试压泵,先加压到规定爆破压力的 50%,然后以预定值的约 10% 为一个增量值直到规定爆破压力值,每个阶段保压 1min 或规定时间:
b)如无破裂,应以加压速率不超过 6.0MPa/min 或规定加压速率继续加压至产品破裂,并记录破坏时的压力和破坏位置,则为该产品的实际破坏压力值。
3、疲劳耐久试验
试验步骤如下所述:
a)将被测阀门一端与疲劳耐久性试验台的出口相连接并拧紧螺母,启动设备,先利用抽真空或其他等效方式排除样品及管道内的空气,然后充入试验介质,保证阀内没有残余空气存在,以免影响测试时的压力稳定性:
b)疲劳耐久循环次数为不小于 250 000 次,第一个循环压力要求:最大正常工作压力、最大非正常工作压力(R410A 为 5.75MPa)、最小设计压力中测试压力较高者,保压时间不小于 1min:
c)其余循环的压力要求:测试的高压压力应不小于制冷剂在 49℃ 的饱和蒸汽压力( R410A 的压力为 2.96MPa),低压压力应不高于制冷剂在 4.4℃(R410A 的压力为 0.92MPa)的饱和蒸汽压力,并且在最高和最低压力值至少保持 0.1s:
d)250 000 次循环后在规定压力(49℃ 的饱和蒸汽压力的 2 倍或设计压力的 1.5 倍,取其高者)下保压不少于 1min:
e)试验结束后应对被测阀门进行目视检查,必要时按相关产品标准的要求进行性能检测。
以上就是今天的分享!如果您对用于上述试验的相关阀门性能试验装置感兴趣,欢迎与我们联系!