套管、 油管螺纹接头弯曲条件下液体/气体内压加拉伸试验:
1、弯曲条件下液体内压加拉伸试验
弯曲条件下液体内压加拉伸试验应按下列步骤及要求进行:
a)试样在用户温度下加热 24h, 然后冷却; 如果试样在前面的试验中已做过封堵管端最终内压循环与热循环, 则此步骤可以省略。
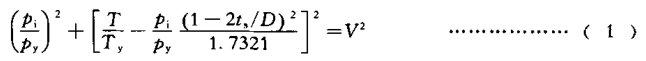
c)按公式(1)和公式(2)及图 1 所示确定载荷及内压。

![]()
c)按一般试验要求(7.3压力、载荷、温度和弯曲控制要求,7.4内压泄漏检测,7.5 内压泄漏收集装置,7.6 安装要求及 7.7 数据采集和记录)规定及图 1 所示进行加载、 施加弯曲载荷及液体内压试验, 整体等效应力不应超过管体在用户温度下屈服强度的 85%。
d)试验结果分别记录在“密封性能试验数据表”和“密封性能试验检漏量筒中水量变化记录表”中。

压力介质:油或水,氮气
图 1 弯曲条件下气体/液体内压加拉伸试验
2、弯曲条件下气体内压加拉伸试验
弯曲条件下气体内压加拉伸试验应按下列步骤及要求进行:
a)试样在用户温度下加热 24h。 然后冷却; 如果试样在前面的试验中已做过热循环, 则此步骤可以省略。
b)按公式(1)和公式(2)及图 1 所示确定载荷及内压。
c)按一般试验要求(7.3压力、载荷、温度和弯曲控制要求,7.4内压泄漏检测,7.5 内压泄漏收集装置,7.6 安装要求及 7.7 数据采集和记录)规定及图 1 所示进行加载, 施加弯曲载荷及气体内压试验。 整体等效应力不应超过管体在用户温度下屈服强度的 85%。
d)试验结果分别记录在“密封性能试验数据表”和“密封性能试验检漏量筒中水量变化记录表”中。