车用高压储氢气瓶组合阀门-TPRD 试验:
1、氢循环试验
1.1 试验方法
采用氢气对 5 个 TPRD 进行 15 000 次压力循环,循环频率应不超过 10 次/min,试验要求如表 1 所示。
表 1 氢循环试验方法
| 循环压力 | 循环次数/次 | 试验温度/℃ | |
| 下限 | 上限 | ||
| ≤2MPa | ≥1.5p | 10 | ≥85 |
| ≤2MPa | ≥1.25p | 2240 | ≥85 |
| ≤2MPa | ≥1.25p | 10000 | 20±5 |
| ≤2MPa | ≥0.8p | 750 | ≤-40 |
1.2 合格指标
氢循环试验后,TPRD 应符合 9、泄漏试验、10、动作试验和 11、流量试验的规定。
2、加速寿命试验
2.1 试验方法
试验步骤如下。
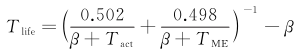
a)对 8 个 TPRD 进行此项试验,其中 3 个 TPRD 的试验温度为动作温度 T act,另外 5 个 TPRD 的试验温度为加速寿命温度 T life,计算公式如下:

式中,β 取 273.15℃,T ME 取 85℃, T act 取 110℃。
b)将 TPRD 置于恒温箱或水浴箱中,试验中温度允许偏差为 ±1℃。
c)TPRD 进气口的氢气或惰性气体压力应不低于 1.25p。压力源可位于恒温箱或水浴箱的外部,并以单一或者分支管路系统为 TPRD 加压。若采用分支管路系统,则每个分支管路都应包含一个单向阀。
2.2 合格指标
在 T act 下测试的 TPRD 动作时间应不超过 10h。在 T life 下测试的 TPRD,500h 内不应动作,试验后的 TPRD 应符合 9、泄漏试验的规定。
3、温度循环试验
3.1 试验方法
试验步骤如下:
a)将 1 个无内压的 TPRD 在温度小于或者等于 -40℃ 的液体中静置至少 2h,然后在 5min 内将其转移到温度大于或者等于 85℃ 的液体中,并在此温度下静置至少 2h,之后在 5min 内将 TPRD 转移到温度小于或者等于 -40℃ 的液体中;
b)重复 a)步骤,完成 15 次循环;
c)将 TPRD 在温度小于或者等于 -40℃ 的液体中静置至少 2h,之后在小于或等于 -40℃ 的环境温度下用氢气对 TPRD 进行 100 次压力循环,压力循环下限应不大于 2MPa,压力循环上限应不小于 0.8p。
3.2 合格指标
在温度循环试验后,TPRD 应符合 9、泄漏试验、10、动作试验和 11、流量试验的规定,其中泄漏试验的温度应不高于 -40℃。
4、耐盐雾腐蚀性试验
4.1 试验方法
试验要求如下。
a)对 3 个 TPRD 进行盐雾试验,试验前 TPRD 应按照使用工况封堵相应的端口。该试验为循环试验,共循环 100 次。一个循环包含正常环境阶段、潮湿阶段以及干燥阶段,单次循环时间为 24h,试验流程如图 1 所示。
b)在正常环境阶段,应控制环境箱温度为(25±3)℃、相对湿度为(45±10)%。试验时间为 8h±10min。只在正常环境阶段对 TPRD 施加盐雾,正常环境阶段开始时施加第 1 次盐雾,共需要施加 4 次。施加盐雾时间间隔约为 90min。每次施加盐雾时,应使 TPRD 表面润湿并形成水珠。喷雾量应足够清洗掉 TPRD 上残留的盐痕迹。
c)在潮湿阶段,控制环境箱温度为(49±2)℃、相对湿度为 100%,试验时间为 7h±10min。
d)在干燥阶段,控制环境箱温度为(60±2)℃且相对湿度不大于 30%,试验时间为 5h±10min。
e)从正常环境阶段到潮湿阶段的转换时间应为 1h±5min,从潮湿阶段到干燥阶段的转换时间应为 3h±10min。
f)因周末或节假日等特殊原因需要暂停试验时,应在一个试验循环完毕后暂停,暂停期间应保持试验箱温度在(25±3)℃ 范围内,相对湿度在(45±10)% 范围内。
g)循环腐蚀试验结束后,采用清水冲洗 TPRD,待其干燥后进行评估。
h)试验设备中环境箱应符合 GB/T 13893.2 的要求,试验用水应符合 GB/T 6682 规定的三级水要求。喷洒盐溶液时,应避免喷雾对 TPRD 直接冲击。
i)混合盐溶液的各组分质量分数要求如下:
1)氯化钠(NaCl):0.9%;
2)氯化钙(CaCl2):0.1%;
3)碳酸氢钠(NaHCO3):0.075%。
氯化钠应为试剂级或食品级。氯化钙应为试剂级。碳酸氢钠应为试剂级或食品级。配制溶液用水应符合 GB/T 6682 的三级水要求。
图 1 TPRD 盐雾试验流程图
4.2 合格指标
经过耐盐雾腐蚀性试验后,TPRD 应符合 9、泄漏试验、10、动作试验和 11、流量试验的规定。
5、耐冷凝腐蚀性试验
5.1 试验方法
试验步骤如下。
a)封堵 TPRD 的进出气口,在常温下,将 TPRD 在以下溶液中分别浸泡 24h:
1)体积分数为 19% 的硫酸水溶液(电池酸);
2)体积分数为 10% 的乙醇汽油溶液(E10 汽油);
3)体积分数为 50% 的甲醇水溶液(挡风玻璃清洗液)。
b)采用 1 个 TPRD 完成此项试验,用每种溶液浸泡后,将 TPRD 上残留溶液擦除并用水冲洗干净。试验过程中应注意安全防护,防止出现火灾等事故。
5.2 合格指标
试验后的 TPRD 不应有影响其功能的裂纹、软化、膨胀等物理损伤(不包括凹痕、表面变色)。同时,TPRD 应符合 9、泄漏试验、10、动作试验和 11、流量试验的规定。
6、耐应力腐蚀试验
6.1 试验方法
当 TPRD 含有暴露于外部环境的铜合金(如黄铜)零件时,应取 1 个 TPRD 进行试验。试验要求如下:
a)清除铜合金零件上的油脂;
b)准备 1 个干燥皿,向干燥皿内注入体积为其容积 2% 的氨水(0.9g/mL);
c)将 TPRD 置于氨水液面上方(35±5)mm 处不与氨水发生反应的托盘上,并密封干燥皿;
d)将装有 TPRD 的密封干燥皿放置在环境箱中 10 天,环境箱温度为(35±5)℃。
6.2 合格指标
不应产生裂纹或发生分层现象。
7、跌落试验
7.1 试验方法
在常温下将 1 个或 6 个 TPRD从 2m 高处自由跌落到光滑水泥地面上。跌落方向为 6 个方向(3 个正交轴的正反方向),可以选择 1 个 TPRD 跌落 6 个方向或 6 个 TPRD 中每个跌落一个方向。
7.2 合格指标
不应出现影响 TPRD 正常使用的可见外部损伤。任何因跌落而导致螺纹损坏无法安装的 TPRD 不应进行 8、耐振性试验,但本次跌落试验不应被视为失败。
8、耐振性试验
8.1 试验方法
将 TPRD(含 1 个未经试验的 TPRD 和经跌落试验的 1 个或 6 个 TPRD)装在专用装置上,沿 3 个正交轴方向以共振频率各振动 2h。以 1.5g 的加速度进行 10min 正弦扫频,频率范围 10Hz~500Hz,确定 TPRD 的共振频率,若未发现共振频率,则试验以 40Hz 的频率进行。
8.2 合格指标
试验后的 TPRD 应符合 9、泄漏试验、10、动作试验和 11、流量试验的规定。
9、泄漏试验
9.1 试验方法
将 1 个未经试验的 TPRD 依次在常温、高温和低温条件下进行泄漏试验。试验开始前,将 TPRD 在规定的温度和不低于 2MPa 的压力下静置至少 1h 直至温度稳定。对 TPRD 加压时,应采用氢气从进气口加压。试验条件如下:
a)常温:在常温和(2±0.5)MPa、不低于 1.25p 的试验压力下;
b)高温:在温度不低于 85℃ 和(2±0.5)MPa、不低于 1.25p 的试验压力下;
c)低温:在温度不高于 -40℃ 和(2±0.5)MPa、不低于 p 的试验压力下。
在每个规定的温度、压力条件下将 TPRD 在对应温度的液体中浸泡 1min 进行观察。
9.2 合格指标
若在规定的试验时间内没有气泡产生,则 TPRD 通过试验;若检测到气泡,则应采用适当方法测量泄漏速率。氢气漏率不应超过 10mL/h。
10、动作试验
10.1 试验方法
对 3 个未经试验和 5 个已经完成其他试验项目(1、3~5、7 和 8 中每个试验抽取 1 个)的 TPRD 进行试验,试验要求如下。
a)试验装置应包含可控制空气温度和流量的环境箱,使空气温度达到(600±10)℃。TPRD 不应直接接触火焰。将 TPRD 装在专用装置上,并记录试验布置方式。
b)应采用热电偶监测环境箱温度。试验开始前 2min,环境箱温度应稳定在规定温度范围内。
c)应在 TPRD 放入环境箱之前,对 TPRD 加压至(2±0.5)MPa。
d)将带压的 TPRD 放到环境箱中直至 TPRD 动作,记录动作时间。
10.2 合格指标
3 个未经试验的 TPRD 的动作时间之差应小于或等于 2min,以上述 3 个 TPRD 的动作时间平均值作为基准动作时间。已进行过其他试验的 TPRD 的动作时间与基准动作时间之差应小于或等于 2min。
11、流量试验
11.1 试验方法
试验要求如下:
a)对 8 个 TPRD 进行流量试验,其中 3 个 TPRD 未经试验,5 个 TPRD 已按照 1、3~5、7 和 8 的规定分别进行了相应试验(其中每个试验抽取 1 个);
b)按照 10 的规定对每个 TPRD 进行动作试验,TPRD 动作后,在不进行清洗、拆除部件或修整的情况下,采用氢气、空气或惰性气体对每个 TPRD 进行流量试验;
c)进气口压力应为(2±0.5)MPa,出气口压力应为大气压力,记录进气口压力及温度;
d)流量的测量精度应为 ±2%。
11.2 合格指标
8 个 TPRD 实测流量的最小值应大于或等于最大值的 90%。