自膨胀封隔器是一种以遇油或遇水自膨胀橡胶材料作封隔件,利用其吸收油或水后体积膨胀的特性进行井下环空封隔的封隔器。今天我们来学习一下这种封隔器的试验方法。
1、自膨胀封隔器耐压性能试验方法
1.1 试验设备
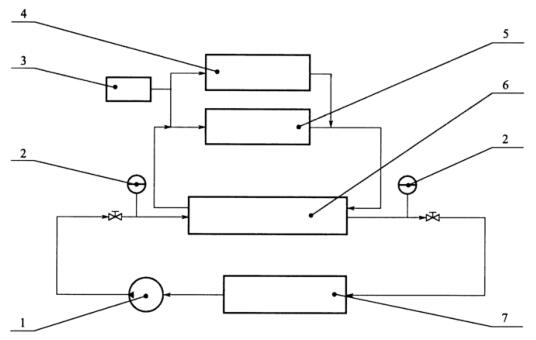
试验设备由封隔器试验筒体、打压泵、温度控制系统、加热循环系统和液体介质容器构成,示意图见图 1。

说明:1——打压泵;2——压力表;3——温度计;
4——温度控制系统;5——加热循环系统;6——封隔器试除筒体;7——液体介质容器。
图 1 试验设备示意图
1.2 试验介质
遇油自膨胀封隔器使用-10#柴油作为试验介质,遇水自膨胀封隔器使用清水作为试验介质。
1.3 试样
试样为 1 套自膨胀封隔器。
1.4 试验程序
1.4.1 将试样(3)放入封隔器试验筒体(1)内,调整自膨胀封隔器处于居中状态,使自膨胀封隔器基管相对于试验筒体固定。
1.4.2 使试验筒体内充满试验介质(2),排空试验筒体内部气体。
1.4.3 将试验介质加热至自膨胀封隔器额定工作温度。
1.4.4 在自膨胀封隔器胶筒膨胀过程中应不断补充试验介质,确保试验筒体内部处于充满状态。
1.4.5 打压前先打开放气孔,直至无气体溢出后,开启打压泵进行缓慢加压。
1.4.6 试验压力达到额定工作压差的 1.2 倍时,停泵,进行稳压。
1.4.7 稳压时间大于 1h,观察和记录压力下降数值。
1.4.8 稳压结束后,从高到低或从低到高进行一次压力反转试验。
2、自膨胀封隔器性能试验
2.1 遇油自膨胀式封隔器用 10 号柴油作为试验介质,遇水自膨胀式封隔器用清水作为试验介质,试验介质内应无明显的微小颗粒物或其他堵塞渗漏的物质。
2.2 试验方法:
a)将封隔器放入试验台架中,如图 1 所示,保证封隔器在台架内处于居中状态,使基管相对于试验台架固定。
b)使试验台架充满试验介质,并排尽试验台架内部的气体。
c)将试验介质加热至封隔器的额定工作温度,试验压力为常压。
d)封隔器膨胀时间参照表 1 的要求,膨胀过程中应不断补充试验介质,保证试验台架内部处于充满状态。
表 1 自膨胀式胶筒技术指标

e)加压前先打开放气孔,直至无气体溢出后,开启加压泵从封隔器的一端进行缓慢加压。
f)试验压力达到表 2 要求的额定工作压差的 1.2 倍时停止加压,稳压时间大于 1h,且压降不应超过最大额定工作压差的 5%。
g)稳压结束后,从封隔器的另一端重复进行上述加压和稳压,记录试验数据。
h)试验结束后泄压并排空试验台架内的试验介质,取出封隔器。
表 2 不同胶筒长度的自膨胀式胶筒工作压差
| 公称尺寸 mm | 胶筒长度 mm | |||||
| 1000 | 2000 | 3000 | 4000 | 5000 | 6000 | |
| 工作压差 MPa | ||||||
| 73 | 10 | 15 | 20 | 30 | 40 | 50 |
| 89 | 10 | 15 | 20 | 30 | 40 | 50 |
| 101 | 10 | 15 | 20 | 30 | 40 | 50 |
| 114 | 10 | 15 | 20 | 30 | 40 | 50 |
| 127 | 10 | 15 | 20 | 30 | 40 | 50 |
| 140 | 10 | 15 | 20 | 30 | 40 | 50 |
| 178 | 10 | 15 | 20 | 30 | 40 | 50 |
以上就是今天的分享!如果您对用于上述试验的自膨胀封隔器性能试验装置感兴趣,欢迎与我们联系!
